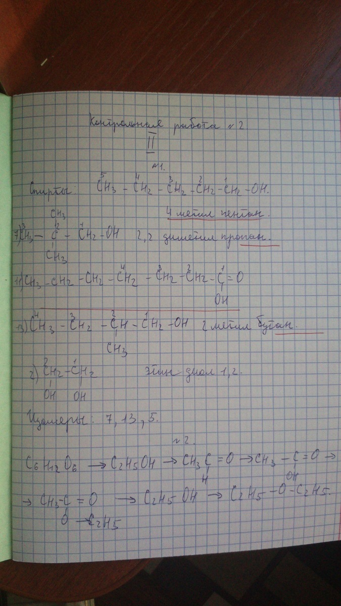
1 задание: назвать спирты по систематической нуменклатуре( у меня не правильно)
2 задание: осуществить цепочку превращений, спасибо
Приложения:

Ответы
Ответ дал:
0
..............................
Приложения:

Ответ дал:
0
еще пожаулуйста напишите условия проведения реакция в цепочке превращения к каждой реакции
Ответ дал:
0
1) дрожжи, 2,3,6)температура
Вас заинтересует
2 года назад
8 лет назад
8 лет назад
10 лет назад
10 лет назад
10 лет назад