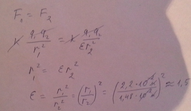
Два
заряда взаимодействуют в вакууме на расстоянии r1 =2,2 • 10-2
м с такой же силой, как и в трансформаторном
масле на расстоянии r2 = 1,48 см.
Какова диэлектрическая проницаемость
трансформаторного масла?
Ответы
Ответ дал:
0
Закон Кулона....
ответ 1.5
123123123123123123123123
ответ 1.5
123123123123123123123123
Приложения:

Вас заинтересует
2 года назад
8 лет назад
10 лет назад
10 лет назад
10 лет назад