• Предмет: Геометрия
  • Автор: teddybear1998
  • Вопрос задан 10 лет назад

помогите плиз
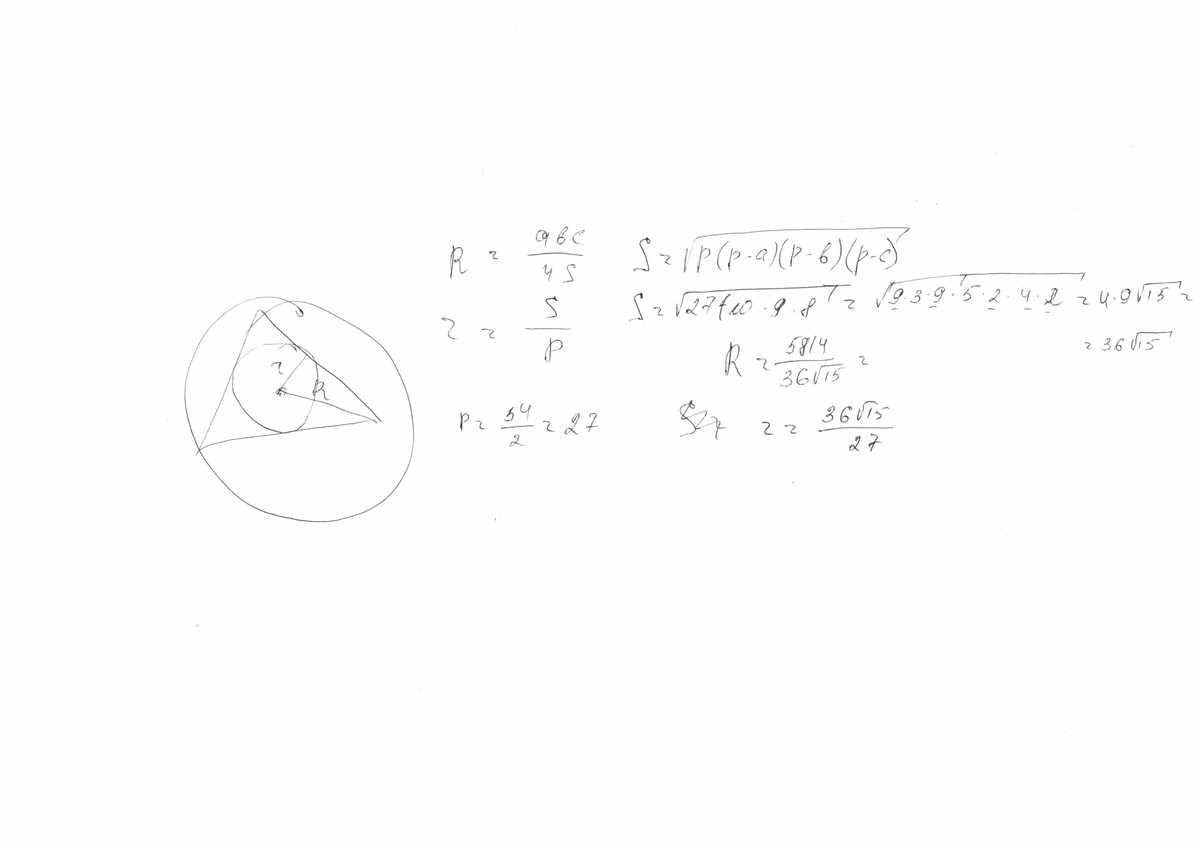
Дан треугольник со сторонами 17,18,19.Найдите радиусы вписанной в него и описанной около него окружностей

Ответы

Ответ дал: mausSonia
0
Відповідь на фото =))

Приложения:
Вас заинтересует