• Предмет: Алгебра
  • Автор: DiAnnaD
  • Вопрос задан 10 лет назад

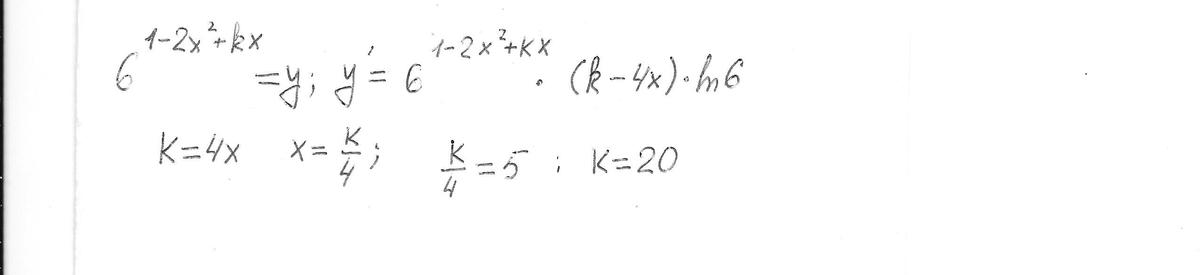
Найдите значение k, при котором функция y= 6^{-2x ^{2} +kx+1} имеет максимум в точке  x_{0} =5

Ответы

Ответ дал: Опыт
0
k=20................................................
Приложения:
Вас заинтересует