• Предмет: Математика
  • Автор: ana0000
  • Вопрос задан 10 лет назад

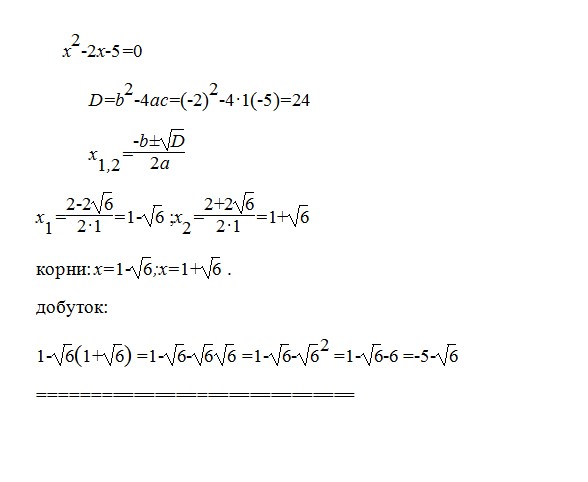
Чому дорівнює добуток коренів рівняння х^2-2х-5=0?

Ответы

Ответ дал: triolana
0
====================================
Приложения:
Вас заинтересует