• Предмет: Алгебра
  • Автор: UDarina
  • Вопрос задан 10 лет назад

Помогите, пожалуйста! В6.

Приложения:

Ответы

Ответ дал: 15032
0
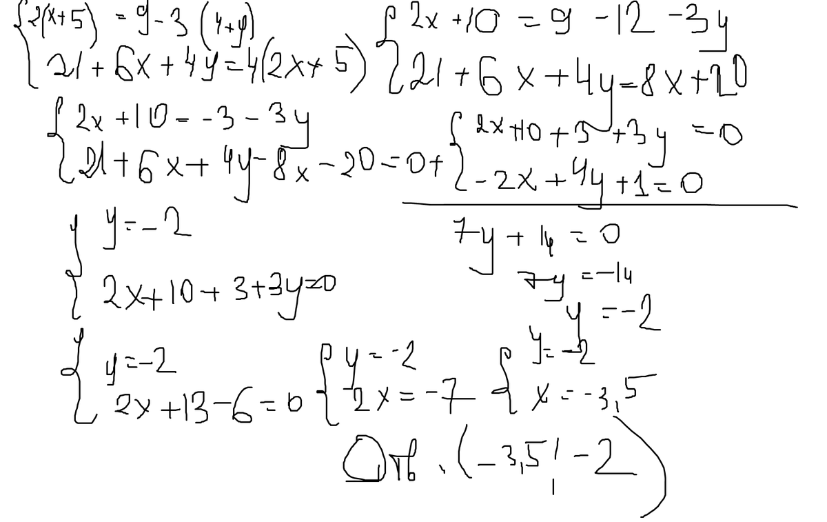
Решениеееееееееееееееееееееееееееееееееееееееееееееееееее
Приложения:
Ответ дал: UDarina
0
Спасибо огрооомнейшее!!!!
Ответ дал: Alina8k
0
Впринципе то же самое, что и в предыдущем решении, но немного поподробнее и посложнее xD
Приложения:
Ответ дал: UDarina
0
Огроомное спасибо, теперь стало все предельно ясно!!!
Ответ дал: Alina8k
0
Хах))Всегда пожалуйста))
Вас заинтересует