• Предмет: Алгебра
  • Автор: kitti56778
  • Вопрос задан 10 лет назад

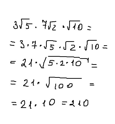
Найдите значение выражение: 3корней из 5*7корней из 2*корней из10

Ответы

Ответ дал: esmilya
0
Если понравилось решение - нажимай "спасибо" и "лучший" (рядом с кнопкой "спасибо") :)
Приложения:
Вас заинтересует