• Предмет: Алгебра
  • Автор: Nike280796
  • Вопрос задан 10 лет назад

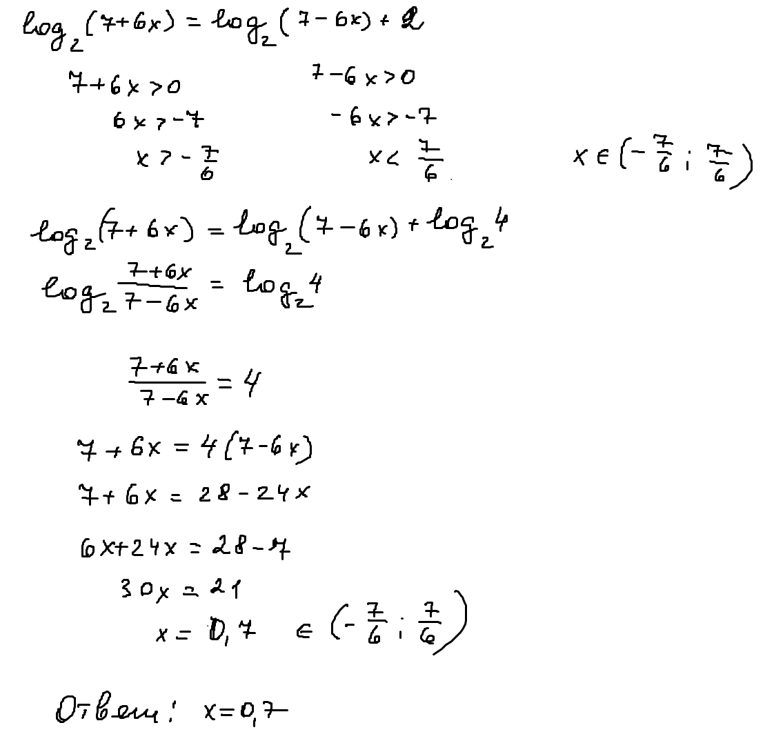
Найдите корень уравнения log _{2}(7+6x)=log _{2}(7-6x)+2 [/tex]

Ответы

Ответ дал: esmilya
0
Если понравилось решение - нажимай "спасибо" и "лучший" (рядом с кнопкой "спасибо") :)
Приложения:
Вас заинтересует