• Предмет: Алгебра
  • Автор: sashayupi
  • Вопрос задан 10 лет назад

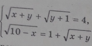
Решите систему иррациональных уравнений

Приложения:

Ответы

Ответ дал: dnepr1
0
Аналитическое решение оказалось очень громоздким.
Графическое дало точку пересечения:
х = 1     у = 3.
Вас заинтересует