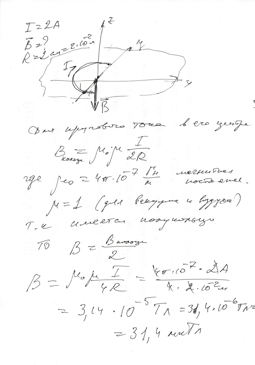
Определить, используя принцип суперпозиции магнитную индукцию поля в точке, создаваемой полукольцом, по которому течёт ток 2 А, радиус полукольца равен 2, точка О является центром кривизны..
Ответы
Ответ дал:
0
смотрите файлик.....................
Приложения:
Вас заинтересует
3 года назад
3 года назад
8 лет назад
8 лет назад
10 лет назад
10 лет назад
11 лет назад