Ответы
Ответ дал:
0
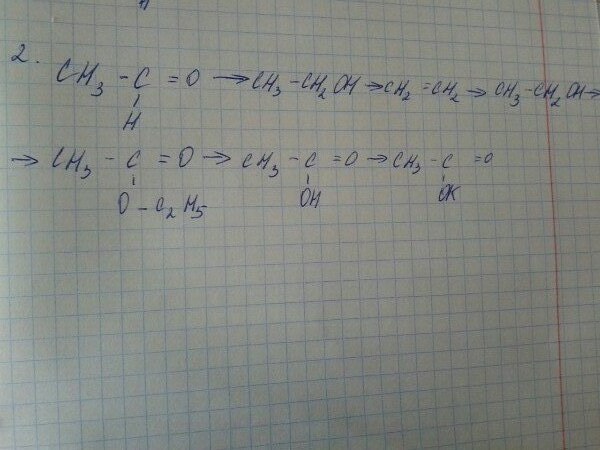
1) из альдегида получить спирт. реакция гидрирования ( присоединение водорода)
СН3-СОН + H2 --->CH3-СН2-OH
2)из спирта получить алкен .реакция дегидратации ( отрыв воды). при температуре больше 140 градусов, катализатор серная кислота концентрированная [H2SO4]конц
СН3-CH2 -OH -----> CH2=CH2 + H2O
3) из алкена получить спирт. реакция гидратации( присоединение воды). при температуре, давлении, катализатор фосфорная кислота [H3PO4]
CH2=CH2 + H2O ---> CH3-CH2-OH
4)из спирта получить сложный эфир. реакция присоединения карбоновой кислоты (этерификация) в присутствии серной кислоты
СH3- COOH + CH3-CH2-OH ----> CH3 - COO-C2H5 + H2O
5) из сложного эфира получить карбоновую кислоту. реакция гидролиза эфира ( разложение водой)
CH3-COO-C2H5 + H2O ---> CH3COOH + C2H5OH
6) из карбоновой кислоты получить соль карбоновой кислоты.
можно прибавить калий, оксид калия, гидроксид калия.
CH3-COOH + KOH --> CH3COOK + H2O
СН3-СОН + H2 --->CH3-СН2-OH
2)из спирта получить алкен .реакция дегидратации ( отрыв воды). при температуре больше 140 градусов, катализатор серная кислота концентрированная [H2SO4]конц
СН3-CH2 -OH -----> CH2=CH2 + H2O
3) из алкена получить спирт. реакция гидратации( присоединение воды). при температуре, давлении, катализатор фосфорная кислота [H3PO4]
CH2=CH2 + H2O ---> CH3-CH2-OH
4)из спирта получить сложный эфир. реакция присоединения карбоновой кислоты (этерификация) в присутствии серной кислоты
СH3- COOH + CH3-CH2-OH ----> CH3 - COO-C2H5 + H2O
5) из сложного эфира получить карбоновую кислоту. реакция гидролиза эфира ( разложение водой)
CH3-COO-C2H5 + H2O ---> CH3COOH + C2H5OH
6) из карбоновой кислоты получить соль карбоновой кислоты.
можно прибавить калий, оксид калия, гидроксид калия.
CH3-COOH + KOH --> CH3COOK + H2O
Вас заинтересует
3 года назад
3 года назад
8 лет назад
8 лет назад
11 лет назад