• Предмет: Физика
  • Автор: AnarchisT
  • Вопрос задан 11 лет назад

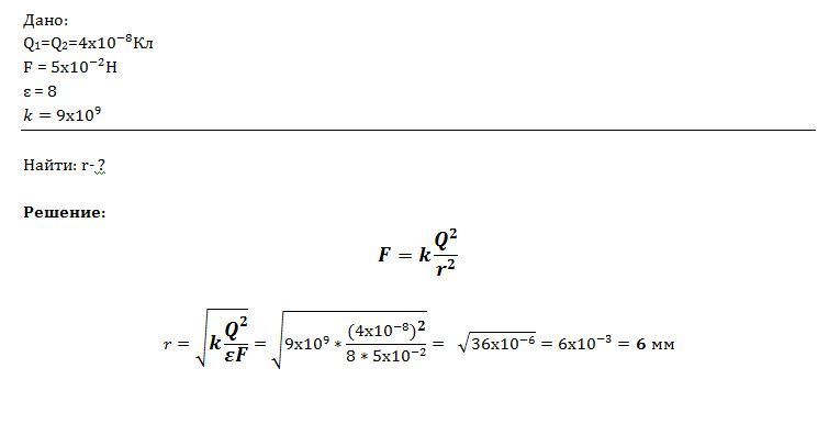
Два заряда по 4*10^(-8)Кл разделенных словем слюды, взаимодействует с силой 5*10^(-2)Н. Определите толщину слоя слюды. Если её диэлектрическя проницаемость равна 8.

Ответы

Ответ дал: livres
0
Ответ с решением во вложении:
Приложения:
Вас заинтересует