• Предмет: Математика
  • Автор: allegefickt
  • Вопрос задан 10 лет назад

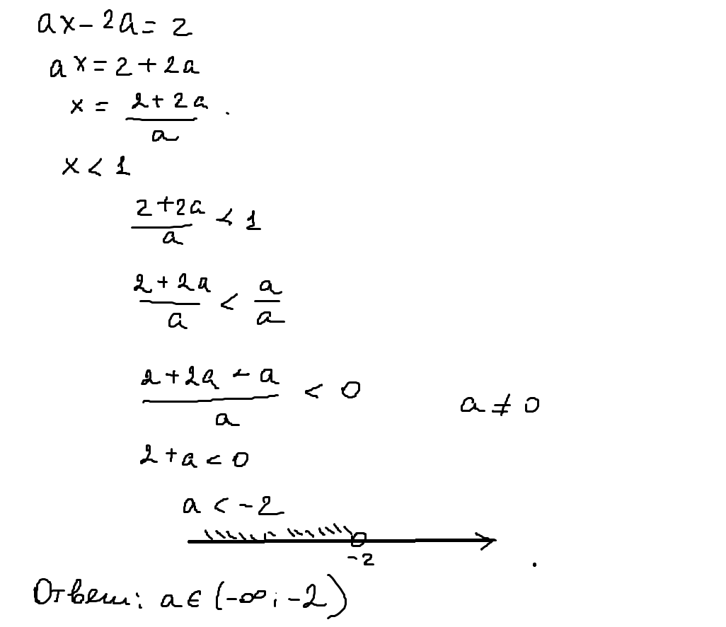
При каких значениях a уравнение ax - 2a = 2 имеет корень, меньший 1?

Ответы

Ответ дал: esmilya
0
Если понравилось решение - нажимай "спасибо" и "лучший" (рядом с кнопкой "спасибо") :)
Приложения:
Ответ дал: allegefickt
0
В тестах такого ответа нет( спасибо за решение
Ответ дал: esmilya
0
может, условие не так записано?
Ответ дал: allegefickt
0
Всё, я понял. В конце нужно было выписать все нули, т.е. 0 и -2 и решить методом интервалов. Так как уравнение меньше нуля, то и получается от ( - 2;0 ) Спасибо)
Вас заинтересует