Ответы
Ответ дал:
0
... = 18ху^6 + 14x^2y^3 - 21x^2y^3 = 18xy^6 + 39x^2y^3 = 3xy^3 (6y^3 + 13x)
Ответ дал:
0
Если понравилось решение - нажимай "спасибо" и "лучший" (рядом с кнопкой "спасибо") :)
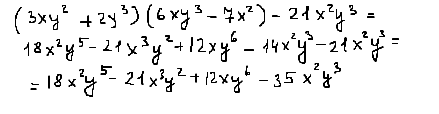
Приложения:

Ответ дал:
0
klass
Вас заинтересует
2 года назад
2 года назад
8 лет назад
8 лет назад
10 лет назад
10 лет назад
10 лет назад