• Предмет: Алгебра
  • Автор: Вадим221
  • Вопрос задан 10 лет назад

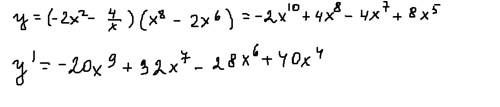
Помогите решить производную

Приложения:

Ответы

Ответ дал: esmilya
0
Если понравилось решение - нажимай "спасибо" и "лучший" (рядом с кнопкой "спасибо") :)
Приложения:
Ответ дал: Вадим221
0
спасииииииииибо))))))))
Вас заинтересует