• Предмет: Математика
  • Автор: Керис
  • Вопрос задан 10 лет назад

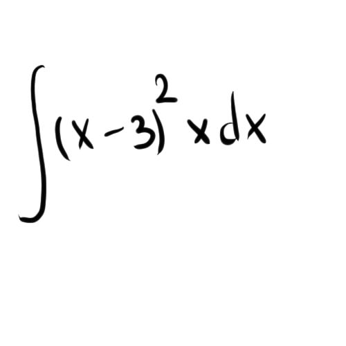
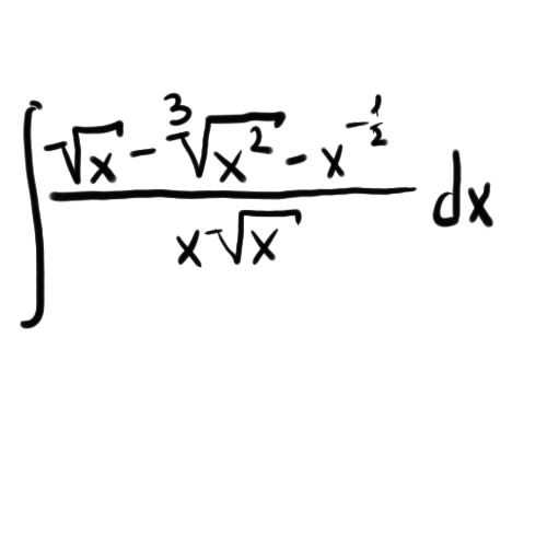
Вычислите неопределённый интеграл
Поставлю лучшее.

Приложения:

Ответы

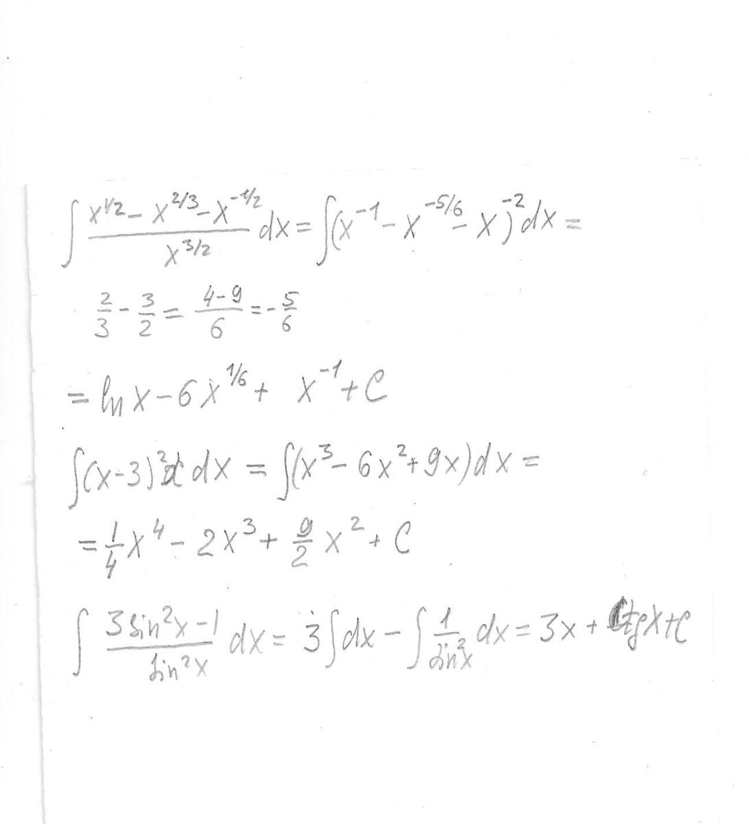
Ответ дал: Гоша68
0
держите.......................................
Приложения:
Вас заинтересует