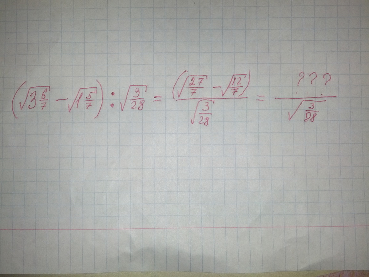
Помогите решить простенькое уравнение...не могу понять, что должно быть вместо вопросиков
Приложения:

Ответы
Ответ дал:
0
Кв.кор (27/7) = Кв.кор(9*3/7) = 3*Кв.кор(3/7) ; Кв.кор (12/7) = Кв.кор(4*3/7) = 2*Кв.кор(3/7)
3Кв.кор(3/7)-2Кв.кор(3/7)=Кв.кор(3/7)
3Кв.кор(3/7)-2Кв.кор(3/7)=Кв.кор(3/7)
Ответ дал:
0
Можно еще вынести из за дужки)) корень из 3/7
Ответ дал:
0
http://ru.static.z-dn.net/files/d42/e9f4bdcb589682090ea53d55ccf2421a.jpg
Ответ дал:
0
А можно вкратце объяснить как вы все так сократили во 2ом действии
Ответ дал:
0
Числители сократили на 3 к каждому и также со знаменателем сократили на 7
Ответ дал:
0
Большое вам спасибо
Ответ дал:
0
.................................
Приложения:

Вас заинтересует
8 лет назад
8 лет назад
10 лет назад
10 лет назад
10 лет назад