• Предмет: Математика
  • Автор: nikitsgern
  • Вопрос задан 10 лет назад

Помогите решить пару заданий, пожалуйста! 

1. Найдите значение выражения, предварительно упростив его:

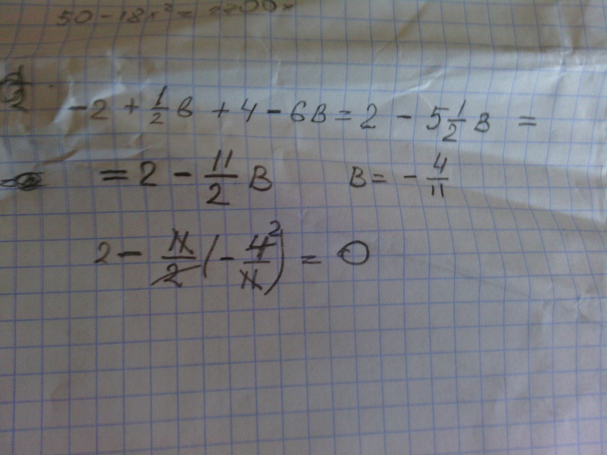
а) 1/4(-8 + 2b) - (-4 + 6b) , если b = - 4/11

б) 14(0,6x - 6|7y) - 1/8(16,8x + 6y), если х = 5/9, у=10

2. Решите уравнения:

а) 3(7 + 2k) - 4(-7 + 1/2k) = -19

б) 5/12(24х - 144) - 3/8(48х + 44) = 1,5

Заранее спасибо.

Ответы

Ответ дал: look03
0
Смотри фото. И подставь сам
Приложения:
Вас заинтересует