Ответы
Ответ дал:
0
Решение прикреплено файлом!
Приложения:
Ответ дал:
0
спасибо
Ответ дал:
0
открылось?
Ответ дал:
0
надо просто подождать, фото тяжелое наверное, или сразу как открылось нажмите правой кнопкой мыши и выберите "сохранить как"
Ответ дал:
0
да . спасибо огромное
Ответ дал:
0
:)
Ответ дал:
0
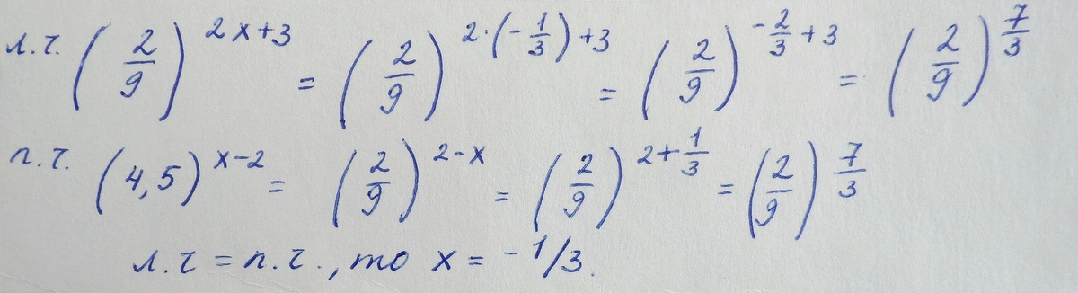
4,5 заменяем как 4 целых 5/10 или 45/10 сокращаем все на 5=9/2
переворачиваем дробь знак меняется в степени будет так
(2/9)^(2x+3)=(2/9)^x+2
основания одинаковые степени приравниваем
2x+3=-x+2
2x+x=2-3
3x=-1
x=-1/3
переворачиваем дробь знак меняется в степени будет так
(2/9)^(2x+3)=(2/9)^x+2
основания одинаковые степени приравниваем
2x+3=-x+2
2x+x=2-3
3x=-1
x=-1/3
Приложения:
Ответ дал:
0
т.е по вашему, (2/9)^1=(2/9)^3!? У вас ошибка: (2/9)^(2x+3)=(2/9)^x+2. правая часть не верна, т.к (2/9)^(-1)(x-2)=(2/9)^(2-x), а не x+2, как у вас
Вас заинтересует
3 года назад
3 года назад
8 лет назад
8 лет назад
11 лет назад
11 лет назад