• Предмет: Алгебра
  • Автор: stasha114
  • Вопрос задан 10 лет назад

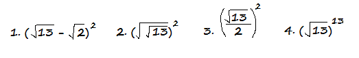
Помогите! Какое из чисел является рациональным?

Приложения:

Ответы

Ответ дал: mmb1
0
(√13/2)²=13/4=3.25
остаьные иррациональные
Вас заинтересует