• Предмет: Геометрия
  • Автор: irinakamneva1
  • Вопрос задан 10 лет назад

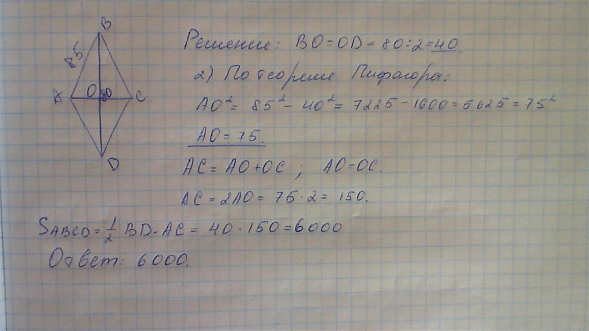
Сторона ромба равна 85, а диагональ 80. найдите площадь ромба

Ответы

Ответ дал: Мilkа
0
Лови решение^^ Легко ведь всё решается ;D
Приложения:
Ответ дал: irinakamneva1
0
Спасибо большое
Ответ дал: Мilkа
0
Пожалуйста^^
Вас заинтересует