• Предмет: Математика
  • Автор: LadySmail
  • Вопрос задан 10 лет назад

помогите пожалуйста срочно

Приложения:

Ответы

Ответ дал: Аноним
0
а) 1,03х=-5,253
х=-5,253:1,03
х=-5,1 


Ответ дал: Аноним
0
Буквой*
Ответ дал: Аноним
0
б) -0,4(у+6,5)=-4/5
Ответ дал: Аноним
0
щас
Ответ дал: Аноним
0
-0,4у+6,1=-4/5
Ответ дал: Аноним
0
-0,4=-4/5-6?1
Ответ дал: Мilkа
0
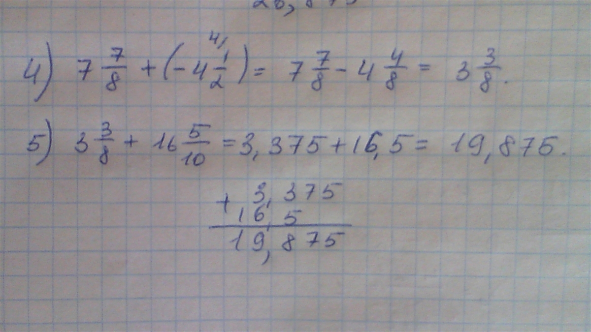
Дерджи пока уравнения. Извини за почерк. Тороплюсь просто...
Приложения:
Ответ дал: LadySmail
0
спасибо
Ответ дал: LadySmail
0
а у меня только 4 действия должно быть
Ответ дал: LadySmail
0
а у тебя 5 их
Ответ дал: Мilkа
0
Последние 2 можешь соединить, 7 целых 7/8 +(-4 целых 1/2)+16 целых 5/10=7 целых 7/8 - 4 целых 4/8+16 целых 5/10=19,875
Ответ дал: LadySmail
0
спасибо
Вас заинтересует