• Предмет: Физика
  • Автор: Alinkaa1404
  • Вопрос задан 10 лет назад

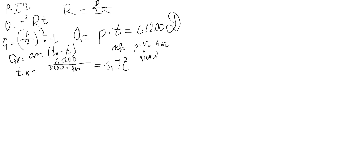
электрический двигатель с полезной мощностью 0.204 кВт вращает лопатки в сосуде, вмещающем 4л воды.Из-за трение лопаток о жидкость вода нагревается.На сколько градусов повысится температура воды за 5 мин?КПД передачи не учитывать.Считать,что сосуд теплоизолирован.
ответы:
а)0,6
б)3,7
в)7,1

Ответы

Ответ дал: blad3518
0
Воду взял при нулевой температуру! 
Приложения:
Вас заинтересует