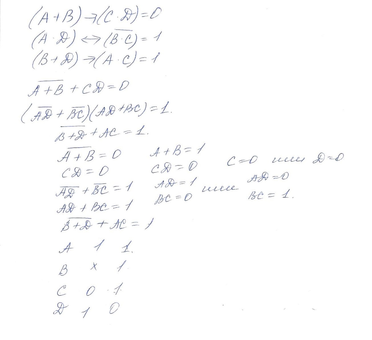
Известна истинность следующих логических выражений:(A or B) → (C and D) = 0(A and D) ↔ not (B and C) = 1(B or D) → (A and C) = 1Какие значения имеют в этом случае логические переменные A, B, C и D? В ответе укажитечерез запятую последовательность нулей и единиц в порядке ABCD, где единица обозначает значение «истина», а ноль – «ложь» (например запись «0,1,0,1» означает, что суждение A – ложно, B – истинно, C – ложно, D – истинно).
Ответы
Ответ дал:
0
Ответ: 1,1,1,0
решение во вложении
пояснение: за основу я беру два выражения
в первом случае A and D=1
во втором случае B and C=1
потом просто сверяю с остальными условиями.
В первом случае последнее условие не выполняется
решение во вложении
пояснение: за основу я беру два выражения
в первом случае A and D=1
во втором случае B and C=1
потом просто сверяю с остальными условиями.
В первом случае последнее условие не выполняется
Приложения:

Вас заинтересует
2 года назад
8 лет назад
10 лет назад
10 лет назад
10 лет назад