Ответы
Ответ дал:
0
НУ вот так вот!,,,,,,,,,,,,,,,,,,,,,,,,,,,,,,,,,,,,,,,,,,,,,,,,,,,,,,
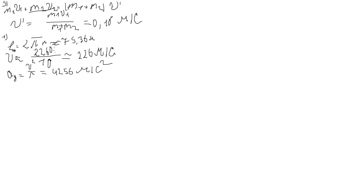
Приложения:


Ответ дал:
0
Повторяю Распиши мне решение!
Ответ дал:
0
ты хочешь чтобы я сидел тут и калякал тебе решение
Ответ дал:
0
Хоть бы сказал спасибо, что вовсе не пролистал твое задание!!
Ответ дал:
0
За что спасибо? за какое то решение без пометки и ответ 24?
Ответ дал:
0
Тебе физики не понять!!
Вас заинтересует
2 года назад
2 года назад
8 лет назад
8 лет назад
10 лет назад
10 лет назад