Ответы
Ответ дал:
0
.....................................
Приложения:

Ответ дал:
0
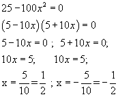
25-100x^2=0
25(1-4x^2)=0
4x^2-1=0
x^2=1/4
x=+-√1/4
x=1/2
x=-1/2
25(1-4x^2)=0
4x^2-1=0
x^2=1/4
x=+-√1/4
x=1/2
x=-1/2
Приложения:

Вас заинтересует
2 года назад
2 года назад
8 лет назад
8 лет назад
10 лет назад
10 лет назад
10 лет назад