• Предмет: Алгебра
  • Автор: zasranes
  • Вопрос задан 10 лет назад

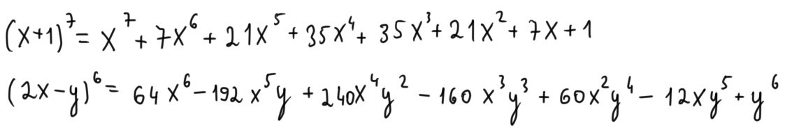
Бином Ньютона
(x+1)^7=
(2x-y)^6=

Ответы

Ответ дал: nikolac
0
Коэффициенты можно найти по таблице биномиальных коэффициентов.

Приложения:
Вас заинтересует