• Предмет: Алгебра
  • Автор: aghvjk
  • Вопрос задан 10 лет назад

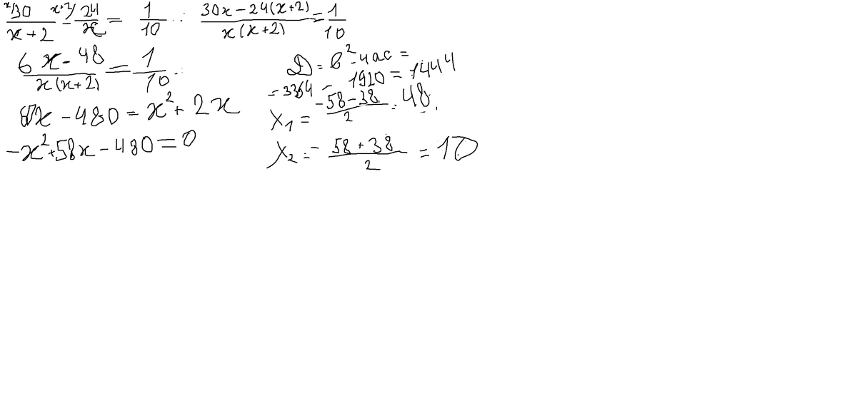
30  - 24  = 1  
х+2   х,     10,            помогите решить((

Ответы

Ответ дал: Аноним
0
 frac{30}{x+2} - frac{24}{x} = frac{1}{10} ;x neq 0;x neq -2 \ 
30*10x-24*10(x+2)=x(x+2) \ 
300x-240x-480= x^{2} +2x \ 
 x^{2} -58x+480=0 \ 
D=3364-1920=1444; x_{1}=48;x_{2}=10
Ответ дал: aghvjk
0
оО
Ответ дал: blad3518
0
у меня ответ -24 и 20
Ответ дал: blad3518
0
ну вот так воттт,,,,,,,,,,,,,,,,,,,,,,,,,,,,,,,,,,,,,,,,,,,,,,,,
Приложения:
Ответ дал: aghvjk
0
к сожалению, не совпало с ответами. но спасиб, тут хотя бы понятно))
Ответ дал: blad3518
0
НУ все я нашел ошибку!
Вас заинтересует