Ответы
Ответ дал:
0
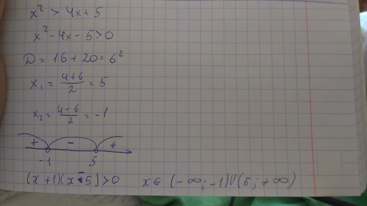
X^2-4x-5>0
D=16+4*5=36=6^2
X1=4-6/2=-1
X2=4+6/2=5
D=16+4*5=36=6^2
X1=4-6/2=-1
X2=4+6/2=5
Ответ дал:
0
не дорешали
Ответ дал:
0
))))))))))))))))))))))
Приложения:

Вас заинтересует
2 года назад
2 года назад
8 лет назад
8 лет назад
10 лет назад
10 лет назад
10 лет назад