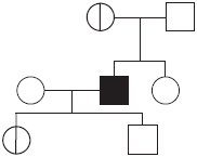
По изображённой на схеме родословной установите вид и характер наследования признака, выделенного чёрным цветом (доминантный или рецессивный, сцеплен или не сцеплен с полом). Составьте схему решения задачи. Определите генотипы детей в первом и втором поколении.Условные обозначения:
Приложения:


Ответы
Ответ дал:
0
Признак сцеплен с полом, Скорее гемофилия
женщина носительница X^AX^a и здоровый мужчина Х^AY
и них родился больной мальчик X^aY
и здоровая девочка X^AX^A
больной сын в браке со здоровой женщиной X^AX^A
у них родились дочь носительница X^AX^a и здоровый сын X^AY
женщина носительница X^AX^a и здоровый мужчина Х^AY
и них родился больной мальчик X^aY
и здоровая девочка X^AX^A
больной сын в браке со здоровой женщиной X^AX^A
у них родились дочь носительница X^AX^a и здоровый сын X^AY
Ответ дал:
0
Дано по схеме:
H - это здоровый человек;
h - это больной.
Судя по этой схеме, данный признак сцеплен с полом. Носителем этого заболевания являются женщины, страдают этой болезнью мужчины.
В брак вступает здоровый мужчина и женщина- носительница заболевания.
Решение:
Родители: X(H)X(h) x X(H)Y
Гаметы: X(H), X(h) x X(H), Y
Поколение(F1): X(H)X(H) - здоровая девочка; X(h)X(H) - девочка - носитель;
X(H)Y - здоровый мальчик; X(h)Y - больной мальчик.
Из этого следует, что у этой пары родилась здорова девочка и больной мальчик.
Исходя из дальнейшего брака, нас будет интересовать мальчик, который болеет.
Значит, дальше больной сын женится на женщине - носительнице.
Решение:
Родители: X(H)X(h) х X(h)Y
Гаметы: X(H), X(h) x X(h),Y
Поколение(F2): X(H)Y - здоровый мальчик; X(H)X(h) - девочка- носительница.
Ответ: генотипы детей первого поколения - X(H)X(Н) и X(h)Y.
Генотипы детей второго поколения - X(H)Y и X(H)X(h)
H - это здоровый человек;
h - это больной.
Судя по этой схеме, данный признак сцеплен с полом. Носителем этого заболевания являются женщины, страдают этой болезнью мужчины.
В брак вступает здоровый мужчина и женщина- носительница заболевания.
Решение:
Родители: X(H)X(h) x X(H)Y
Гаметы: X(H), X(h) x X(H), Y
Поколение(F1): X(H)X(H) - здоровая девочка; X(h)X(H) - девочка - носитель;
X(H)Y - здоровый мальчик; X(h)Y - больной мальчик.
Из этого следует, что у этой пары родилась здорова девочка и больной мальчик.
Исходя из дальнейшего брака, нас будет интересовать мальчик, который болеет.
Значит, дальше больной сын женится на женщине - носительнице.
Решение:
Родители: X(H)X(h) х X(h)Y
Гаметы: X(H), X(h) x X(h),Y
Поколение(F2): X(H)Y - здоровый мальчик; X(H)X(h) - девочка- носительница.
Ответ: генотипы детей первого поколения - X(H)X(Н) и X(h)Y.
Генотипы детей второго поколения - X(H)Y и X(H)X(h)
Вас заинтересует
2 года назад
8 лет назад
8 лет назад
10 лет назад