• Предмет: Математика
  • Автор: Yuleea
  • Вопрос задан 10 лет назад

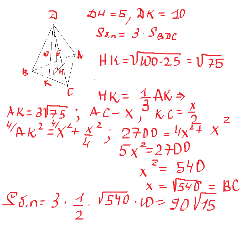
В правильной треугольной пирамиде высота равна 5,а апофема 10.Найдите площадь боковой поверхности пирамиды.

Ответы

Ответ дал: asvista
0
 во вложениях
.
.
.
.
.
.
.
.
Приложения:
Вас заинтересует