Ответы
Ответ дал:
0
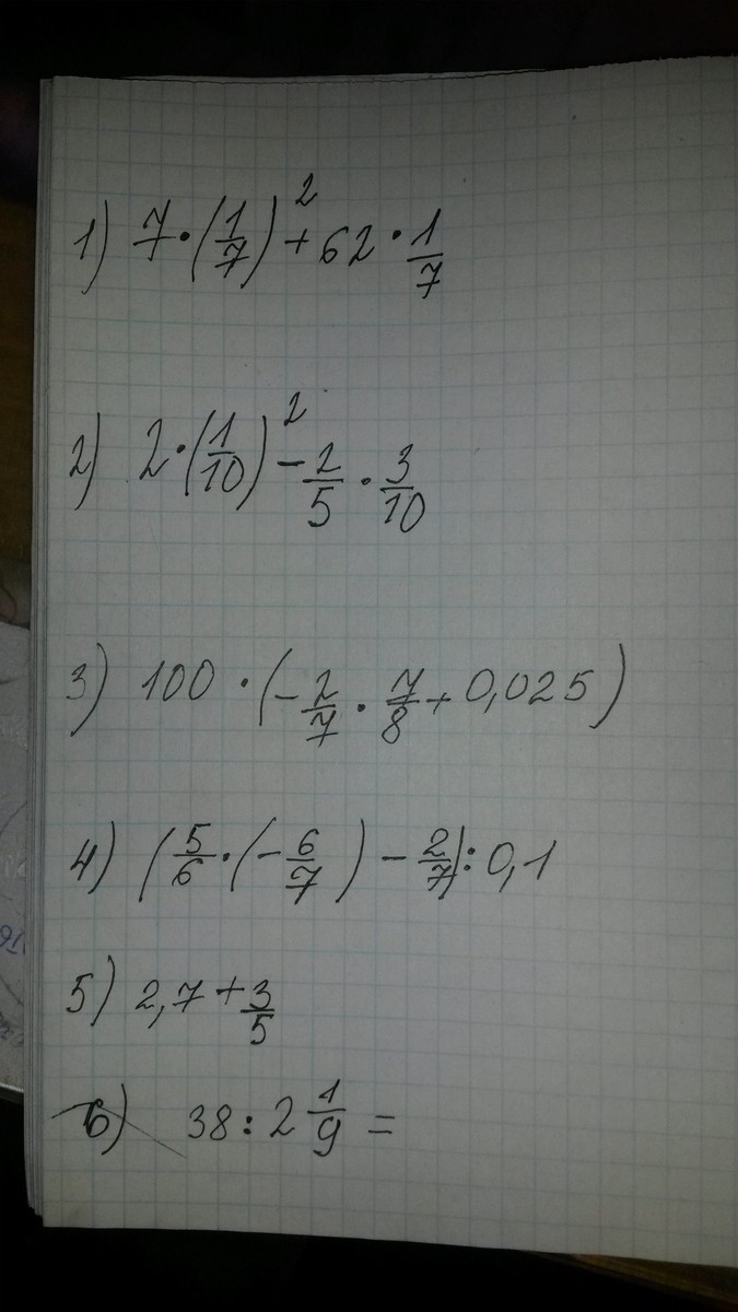
1)7*1/7+62*1/7=7*1/49+62*1/7=1/7+62/7=63/7=9
2)=2/100-3/25=1/50-3/25=1/50-6/50=-5/50=-1/10
3)=100*(-2/8+25/1000)=100*(-1/4+1/40)=100*(-10/40+1/40)=-9/40*100=-900/40=-9/4=-22,5
2)=2/100-3/25=1/50-3/25=1/50-6/50=-5/50=-1/10
3)=100*(-2/8+25/1000)=100*(-1/4+1/40)=100*(-10/40+1/40)=-9/40*100=-900/40=-9/4=-22,5
Вас заинтересует
3 года назад
8 лет назад
8 лет назад
11 лет назад
11 лет назад
11 лет назад