Ответы
Ответ дал:
0
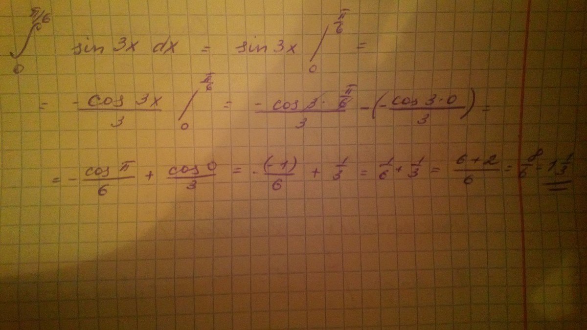
Решаем по формуле Ньютона-Лейбница .
может быть в расчетах ошиблась, пересчитай
может быть в расчетах ошиблась, пересчитай
Приложения:

Вас заинтересует
2 года назад
2 года назад
8 лет назад
10 лет назад
10 лет назад