• Предмет: Алгебра
  • Автор: MashaPetrova56
  • Вопрос задан 10 лет назад

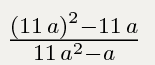
((11*a)^2 - 11*a)/(11*a^2-a)
Выражение на картинке, прикрепленной к вопросу. 

Приложения:

Ответы

Ответ дал: happy3428
0
((11*a)^2 - 11*a)/(11*a^2-a)=(11a(11a-1)) / (a(11a-1)) = 11
Ответ дал: Ileasile
0
(11a(11a-1))/(a(11a-1)) = 11a/a = 11.
Вас заинтересует