Ответы
Ответ дал:
0
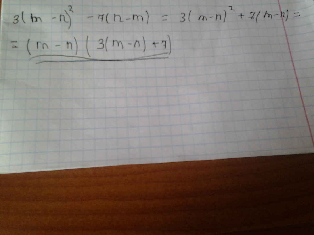
3(m-n)(m-n)+7(m-n)=(m-n)(3(m-n)+7)
знак поменяли с минуса на плюс чтобы превратить (n-m) в (m-n)
вроде всё должно быть правильно
знак поменяли с минуса на плюс чтобы превратить (n-m) в (m-n)
вроде всё должно быть правильно
Ответ дал:
0
вложено===========================
Приложения:


Вас заинтересует
2 года назад
8 лет назад
8 лет назад
10 лет назад
10 лет назад
10 лет назад