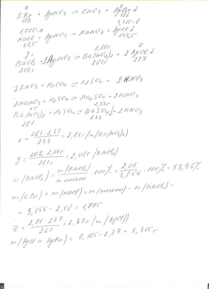
В воде растворили 3,855 г смеси бромида калия, хлорида натрия и хлорида бария. Полученный раствор обработали необходимым количеством раствора AgNO3 и получили 6,185 г осадка. Осадок отделили, а фильтрат обработали избытком разбавленной серной кислоты и получили 2,33 г нового осадка. Найдите массовые доли солй в исходной смеси
Ответы
Ответ дал:
0
!!!!!!!!!!!!!!!!!!!!!!!!!!!!!!!!!!!!!!!!!!!!!!!!!!!!!
Приложения:



Ответ дал:
0
каким другим способом можно решить такую задачу? Я только этот знаю. Решение можно не преводить , если можно в двух словах объясните свой способ, Заранее огромное спасибо
Ответ дал:
0
химическре количество KBr я обозначала через х, значить химическое количесто AgBr тоже х. Химическо количество NaCl у значить хим.количество AgCl тоже у. Ну а потом составляла систему. У меня w(NaCl)=43,35, w(KBr)=2,68, w(BaCl2)=58,06
Ответ дал:
0
А в ответах?
Ответ дал:
0
В учебнике сколько?
Ответ дал:
0
как и у тебя
Вас заинтересует
2 года назад
2 года назад
8 лет назад
10 лет назад