Ответы
Ответ дал:
0
(1) подставляем значения, и получаем y=
-----
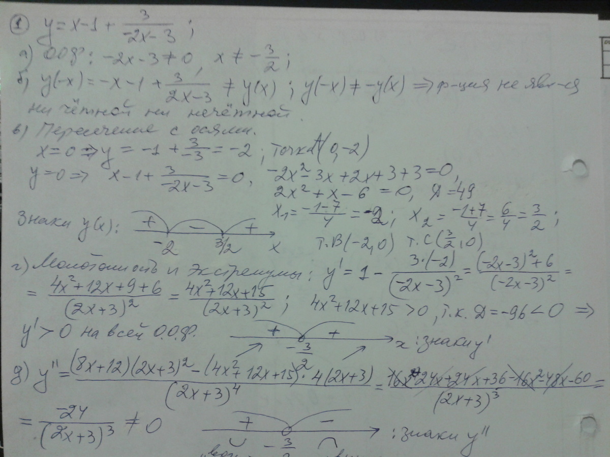
1) Ищем ОДЗ
2x+3≠0
x≠-3/2
x∈(-∞;-3/2)U(-3/2;∞)
---------
2) ищем вертикальные асимптоты
∞
∞
значит, прямая х=-3/2 - вертикальная асимптота.
----------
3) проверим функцию на четность и нечетность
а) четность
f(x)=f(-x)
≠
функция не является четной.
б) на нечетность
f(x)=-f(x)
≠-(
)
функция не является нечетной.
----------
4) промежутки убывания и возрастания
ищем производную, приравняем к нулю и найдем критические точки функции
f '(x)=(
)'=(4х²+12х+15)/(2x+3)²=0
x=-3/2
берем пробные точки и проверяем знак
f '(-2)=7 (+)
f '(0)=15/9 (+)
значит, функция при всех Х возрастает.
-----------
5) периодичность.
видно, что
f(x)≠f(x+T)
----------
6) там есть наклонная асимптота, но я не знаю как ее найти.
график
-----
1) Ищем ОДЗ
2x+3≠0
x≠-3/2
x∈(-∞;-3/2)U(-3/2;∞)
---------
2) ищем вертикальные асимптоты
значит, прямая х=-3/2 - вертикальная асимптота.
----------
3) проверим функцию на четность и нечетность
а) четность
f(x)=f(-x)
функция не является четной.
б) на нечетность
f(x)=-f(x)
функция не является нечетной.
----------
4) промежутки убывания и возрастания
ищем производную, приравняем к нулю и найдем критические точки функции
f '(x)=(
x=-3/2
берем пробные точки и проверяем знак
f '(-2)=7 (+)
f '(0)=15/9 (+)
значит, функция при всех Х возрастает.
-----------
5) периодичность.
видно, что
f(x)≠f(x+T)
----------
6) там есть наклонная асимптота, но я не знаю как ее найти.
график
Приложения:

Ответ дал:
0
спасибо огромное!
Ответ дал:
0
Смотри ответ во вложении
Приложения:


Ответ дал:
0
Спасибо огромное за помощь!
Вас заинтересует
8 лет назад
10 лет назад
10 лет назад