• Предмет: Алгебра
  • Автор: Лизка26
  • Вопрос задан 10 лет назад

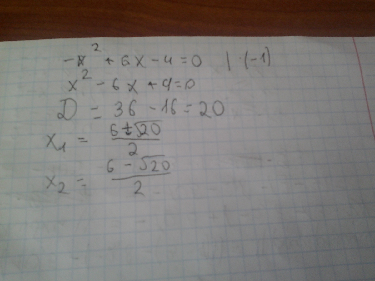
Решить уравнение (8 класс):
-x^2+6x-4=0
^ - это степень)

Ответы

Ответ дал: nikitaaz
0
вложено==============
Приложения:
Вас заинтересует
8 лет назад