• Предмет: Алгебра
  • Автор: butterfly19981
  • Вопрос задан 10 лет назад

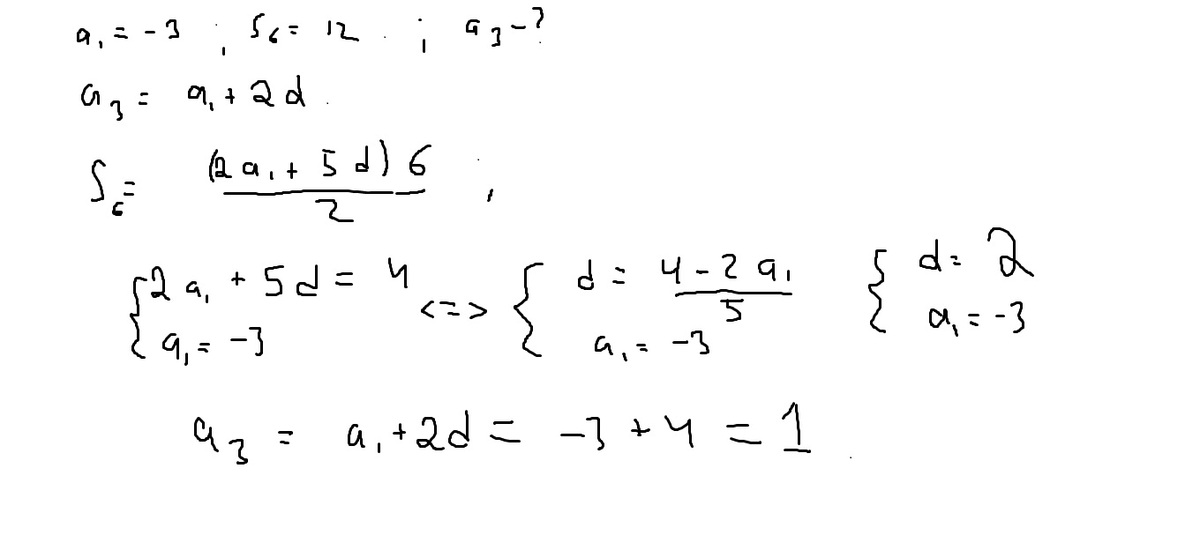
В арифметической прогрессии первый член равен -3 а сумма первых шести членов равна 12. Найдите третий член прогрессии. прошу с полным решением (Я эту тему в школе пропустила,а теперь не могу понять)

Ответы

Ответ дал: aleantchest
0
вот так вот .........................................
Приложения:
Ответ дал: aleantchest
0
если что-то непонятно спрашивай
Вас заинтересует