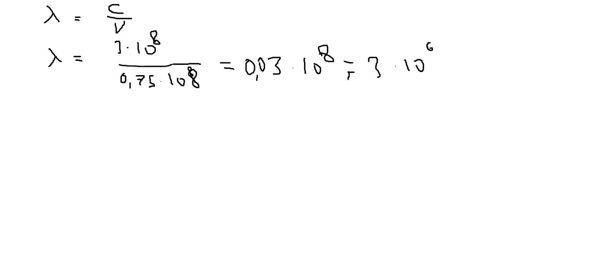
Радиостанция работает на частоте 0,75 · 108 Гц. Какова длина волны, излучаемой антенной радиостанции? Скорость распространения электромагнитных волн 300 000 км/с.
Ответы
Ответ дал:
0
вот так вот ...................................
Приложения:

Вас заинтересует
2 года назад
2 года назад
8 лет назад
8 лет назад
10 лет назад
10 лет назад
10 лет назад