• Предмет: Математика
  • Автор: Аноним
  • Вопрос задан 10 лет назад

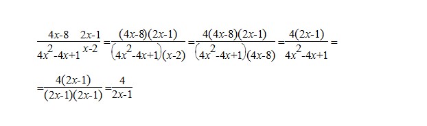
Виконайте множення:  4х-8             2х-1 
                            ------------------  х   ---------
                                4х²-4х+1          х-2

Ответы

Ответ дал: triolana
0
=========================================
Приложения:
Вас заинтересует