Вычислите площади фигур ограниченных данными линиями
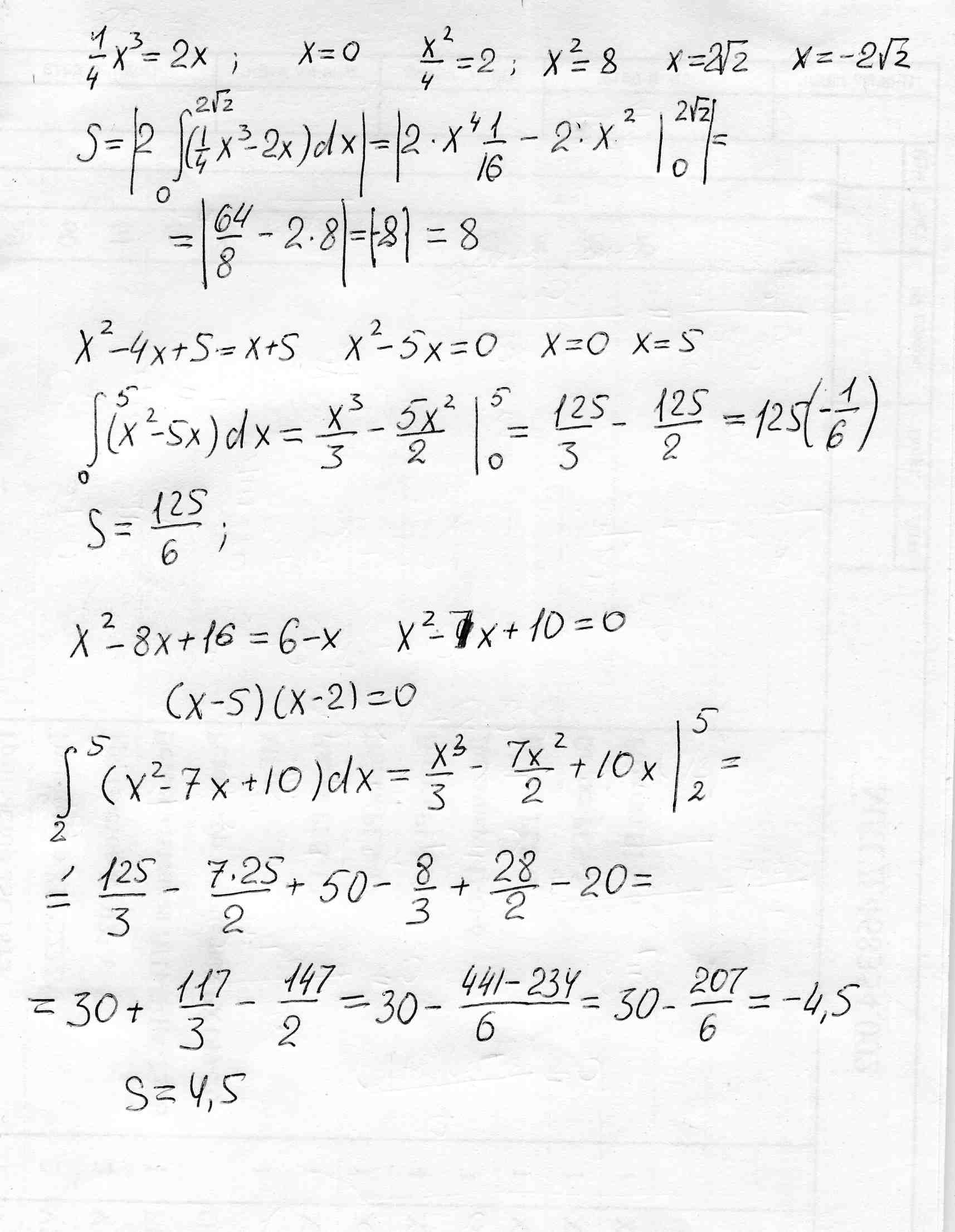
y=1/4x^3 y=2x
y=x^2-4x+5 x-y+5=0
y=x^2-8x+16 x+y-6=0
Построить график с решением
Ответы
Ответ дал:
0
графики построй сам, они легкие, а интегралы нашел
Приложения:

Вас заинтересует
8 лет назад
10 лет назад
10 лет назад
10 лет назад