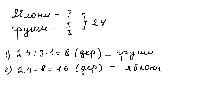
яблунь і груш у шкільному саду росло24. Груші становили третю частину всіх дерев. Скільки яблунь було в саду?
Ответы
Ответ дал:
0
24:3=8. 24-8=16 яблунь.
Ответ дал:
0
Если понравилось решение - нажимай "спасибо" и "лучший" (рядом с кнопкой "спасибо") :)
Приложения:

Вас заинтересует
2 года назад
8 лет назад
10 лет назад
10 лет назад
10 лет назад