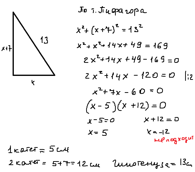
Знайти
сторони прямокутного трикутника, якщо
один з його катетів на 7 см менший від
другого, а гіпотенуза дорівнює 13 см.
Ответы
Ответ дал:
0
Если понравилось решение - нажимай "спасибо" и "лучший" (рядом с кнопкой "спасибо") :)
Приложения:

Вас заинтересует
2 года назад
2 года назад
8 лет назад
10 лет назад
10 лет назад