• Предмет: Алгебра
  • Автор: yana97yana
  • Вопрос задан 10 лет назад

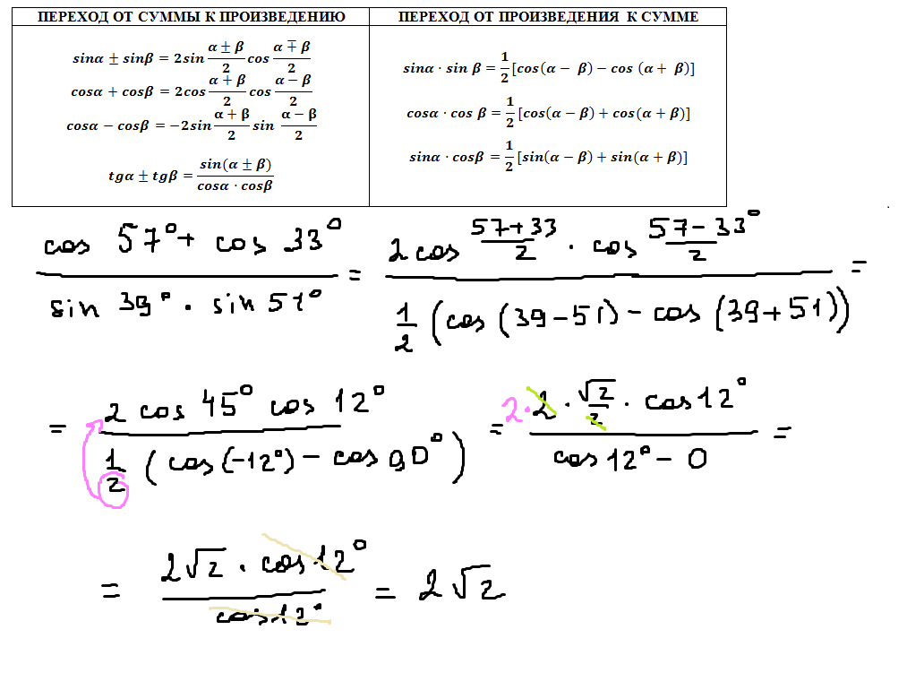
(cos57+cos33)/(sin39*sin51)=

Ответы

Ответ дал: esmilya
0
Если понравилось решение - нажимай "спасибо" и "лучший" (рядом с кнопкой "спасибо") :)
Приложения:
Вас заинтересует