• Предмет: Алгебра
  • Автор: parubinakatya
  • Вопрос задан 10 лет назад

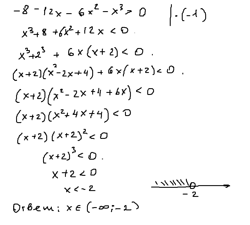
Даю 25 баллов!!!Помогите решить уравнение,только с подробным описанием). (-8-12х-6х^2-х^3)

Ответы

Ответ дал: esmilya
0
Если понравилось решение - нажимай "спасибо" и "лучший" (рядом с кнопкой "спасибо") :)
Приложения:
Вас заинтересует