• Предмет: Алгебра
  • Автор: d5z5o5n5
  • Вопрос задан 10 лет назад

B5

Решить  уравнение.  Если  корней  несколько,  в  ответе  запишите произведение корней.
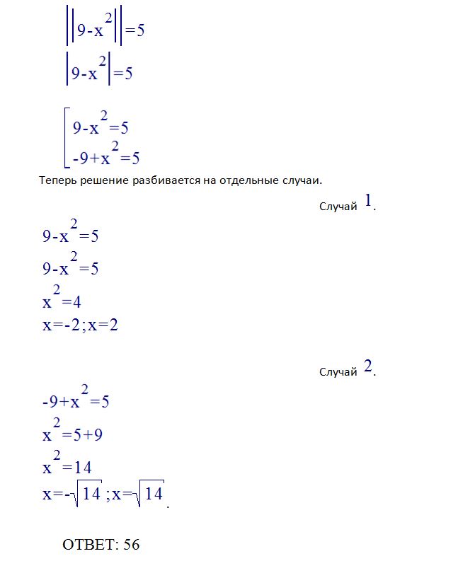
∣∣9−x2∣∣=5

Ответы

Ответ дал: Аноним
0
Решение в закладках
===================
Приложения:
Ответ дал: d5z5o5n5
0
Не могу понять, откуда ответ 56?
Ответ дал: Аноним
0
(-2)*(2)*sqrt(14)*(-sqrt14) = 4*14 = 56
что в задании просили? произведение корней
Ответ дал: d5z5o5n5
0
спасибо=)
Ответ дал: Аноним
0
* sqrt = квадратный корень
Вас заинтересует