• Предмет: Математика
  • Автор: RuslanF
  • Вопрос задан 10 лет назад

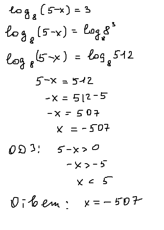
log8 (5-x)=3 ааааааааа срочноооооооо

Ответы

Ответ дал: esmilya
0
Если понравилось решение - нажимай "спасибо" и "лучший" (рядом с кнопкой "спасибо") :)
Приложения:
Ответ дал: massg
0
5-х=8^3=512
x=5-512= -507
Приложения:
Вас заинтересует