• Предмет: Алгебра
  • Автор: welcome124
  • Вопрос задан 10 лет назад

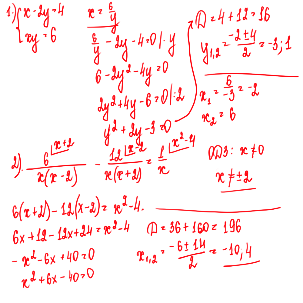
1. Решите систему уравнений  left { {{x-2y=4} atop {xy=6}} right.

2.Решите уравнение  frac{6}{ x^{2} -2x} - frac{12}{ x^{2}+2x }= frac{1}{x}

Ответы

Ответ дал: mockingbird
0
Вроде бы так решается.
Приложения:
Вас заинтересует