Ответы
Ответ дал:
0
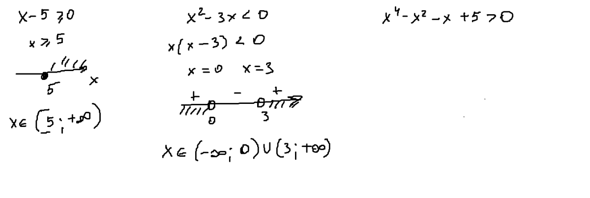
третье задание не решила
Приложения:

Вас заинтересует
2 года назад
8 лет назад
8 лет назад
10 лет назад